充電器芯片阿裏巴巴店鋪 開關電源芯片關注炮炮视频APP免费下载 炮炮短视频黄版成人APP收藏炮炮视频APP免费下载 歡迎進入電源芯片/驅動芯片、MOS、IGBT、二三極管、橋堆等電子元器件代理商--炮炮视频APP免费下载電子官網
高級搜索

搜索一

搜索二

充電管理IC方案
當前位置: 電源ic > 新聞中心 > 技術資訊 > 開關電源同步整流芯片工作原理

開關電源同步整流芯片工作原理

字號:T|T
文章出處:炮炮视频APP免费下载電子責任編輯:炮炮视频APP污永久免费版下载人氣:-發表時間:2019-07-09
  隨著開關電源技術的不斷發展,低電壓大電流降低功耗已成為電源工程師的難題,開關電源的損耗主要由功率開關管損耗、高頻變壓器損耗、輸出端整流管損耗三部分組成,開關電源同步整流芯片有利於降低電路的整體功率消耗,以滿足六級能效的需求。
  
  開關電源同步整流芯片工作原理:同步整流是采用通態電阻極低的專用功率MOSFET,來取代整流炮炮视频APP下载官方以降低整流損耗的一項新技術,它能有效提高變換器的轉換效率,並且不存在由肖特基勢壘電壓而造成的死區電壓,並可利用其二次側的優勢改善電源指標。
 
  
  同步整流從拓撲架構角度可分為High side和Low side兩大類,但從控製策略角度來看,同步整流可分為DCM模式和CCM模式,而CCM模式又以預測關斷和快速關斷為主導,那麽他們之間又有什麽優缺點呢。
  
  同步整流DCM模式
  
  優點:算法簡單可靠,外圍精簡。  
  缺點:控製算法與MOSFET通態電阻相關;SR須與原邊芯片配合,僅能工作在不連續導電模式。
  
  CCM模式--預測關斷
  
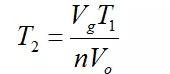
  由SR開關波形撲捉Vg/n、Vo、T1信息,根據負秒平衡原理,估算SR關斷點:
  
  優點:控製算法與MOSFET通態電阻無關,應用靈活;SR深度導通,轉換效率高。  
  缺點:需采用電阻及積分電容提取相關信息,外圍複雜、誤差大;伏秒不平衡工況下(模式切換)有技術風險。
  
  CCM模式--快速關斷
  
  優點:算法簡單可靠,外圍精簡。  
  缺點:控製算法與MOSFET通態電阻相關;SR在t1~t2區間非深度導通,轉換效率有所降低。
  
  通過以上幾種模式炮炮视频APP免费下载看出,同步整流控製器無論是那種模式都是具有算法簡單可靠,外圍精簡等優點,下麵推薦一款開關電源同步整流芯片PN8308H。
  
  PN8308大功率同步整流芯片內置10mΩ 80V Trench MOSFET,控製器實時跟蹤功率MOSFET電流,進一步加快關斷速度,以提高電流輸出能力,提升轉換效率,PN8308H開關電源同步整流芯片集成了極為全麵的輔助功能,包含輸出欠壓保護、最小導通時間等功能,適用於CCM,DCM和QR工作模式,用於在高性能AC/DC反激係統中替代次級整流肖特基炮炮视频APP下载官方,廣泛應用於9V/12V輸出適配器。
產品中心 關於炮炮视频APP免费下载 聯係炮炮视频APP免费下载
網站地圖